公告:
重要政策举措及实施效果
科研进展
更多
-
昆明植物所在兰花水涝胁迫适...水涝是一个农业上经常发生的非生物胁迫。它会...
-
昆明植物所在揭示杜鹃花属物...理解基因组结构如何塑造基因流在基因组的分布...
-
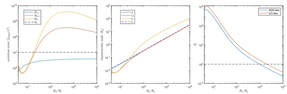
云南天文台提出AGN盘内嵌致密...近日,中国科学院云南天文台双星与变星研究团...
工作进展
更多
- 昆明分院西部青年学者终期评估会暨青年学者学术交流会与人才工作交... (2025-12-04)
- 中国科学院2025年度科普工作骨干培训班在昆明举行 (2025-11-28)
- 中国科学院院所成果贵州行活动在贵阳举办|省院合作推动科技成果落... (2025-11-24)
- 昆明分院召开中国科学院离退休干部工作研究会一片区2025年交流研讨会 (2025-11-20)
- 昆明分院工会传达学习党的二十届四中全会精神 (2025-11-10)
- 昆明分院联合京区学习小组举办2025年财务培训 (2025-11-05)
党群工作
更多
- 版纳植物园召开2025年第2次临时职工代表大会 (2025-12-01)
- 模式动物党支部召开支部党员大会暨“学习贯彻党的二十届四中全会精... (2025-11-28)
- 疾病药物研究党支部召开支部党员大会暨“深悟思想伟力 筑牢安全保密... (2025-11-28)
- 生物保护党支部开展“学习党的二十届四中全会精神”主题党日活动暨... (2025-11-27)
- 昆明动物所行政管理党支部联合多个党支部开展“学习党的二十届四中... (2025-11-27)
- 版纳植物园举办第十四届职工运动会 (2025-11-24)
一线动态
更多
- 模式动物表型与遗传研究国家重大科技基础设施(灵长类设施)举办202... (2025-12-03)
- 昆明植物所在中国科学院科普讲解大赛中斩获佳绩 (2025-12-02)
- 江苏恒瑞医药股份有限公司到访昆明动物所开展合作交流 (2025-12-02)
- 国家重点研发计划“高黎贡地区野生动物全景动态监测体系建设与安全... (2025-12-01)
- 版纳植物园在2025年中国科学院科普讲解大赛中荣获一等奖 (2025-12-01)
- 首届全球龙脑香科植物保护研讨会在版纳植物园召开 (2025-12-01)
人才教育
更多
- 昆明分院西部青年学者终期评估会暨青年学者学术交流会与人才工作交... (2025-12-04)
- 云南省热带亚洲榕-蜂群落构建与利用国际联合实验室培训班举办 (2025-11-26)
- 昆明动物研究所召开青年人才系列交流会 (2025-11-04)
- 昆明分院国庆前后走访看望滇黔中国科学院院士 (2025-10-30)
- 版纳植物园举办青年人员交流座谈会 (2025-09-11)
- 昆明植物所举办2025年核磁共振技术及其在天然产物化学研究中的应用... (2025-09-03)
科普园地
更多
研究所风貌
更多
昆明植物所
昆明动物所
版纳植物园
地球化学所
云南天文台









































