昆明植物所在高山垫状植物构建物种网络并维系物种多样性研究方面取得进展
全球范围内,高山垫状植物这一特殊植物生活型及其生态功能长期以来吸引着众多高山生态学家的目光。现有研究已从不同层面和角度揭示了垫状植物的诸多生态功能。如,垫状植物有效改良极端微环境条件,为其他植物提供适宜生存环境,大量聚集其他植物物种,构建特殊植物微群落,并最终在区域尺度和全球尺度上显著增加和维持高山植物多样性(包括遗传多样性)。也因此,垫状植物被认为是维持高山植物多样性的关键“保险”。
然而,对于垫状植物如何构建并维持群落物种多样性的深层生态过程和机制,仍有诸多未解之谜。例如:自然界中,物种不是孤立地存在,而是通过各种直接或间接、竞争或协作等相互作用维持群落结构及物种多样性稳定。一方面,由于固着性特征,人们难以判断不同物种或同物种不同个体之间的作用形式和强度;另一方面,现有研究主要揭示垫状植物对其他非垫状植物群落结构和多样性的作用,而忽视了其对群落内更高营养级物种(如昆虫)多样性及其群落动态的积极意义。理论上,植物与昆虫存在紧密联系,因此,通过植物多样性可以有效预测昆虫多样性;并且,垫状植物改良的微环境条件也可为昆虫个体的觅食、生存、产卵及孵化等生命过程提供良好环境。少量研究证实了垫状植物对高山昆虫多样性维持具有积极意义。但相关研究仅揭示了群落中单一垫状植物物种对特定昆虫类群(如甲壳类)的积极意义。鲜有研究揭示不同代表性垫状植物类群的共存对群落整体昆虫多样性及其群落动态的影响。因此,目前对垫状植物在高山生物多样性(包括植物多样性与昆虫多样性)维持机制方面的认识和理解仍不充分。
近期,中国科学院昆明植物研究所“泛第三极植物多样性形成及创新驱动专题组”运用物种网络理论与技术,研究和揭示了高山垫状植物在横断山高山冰缘带物种网络构建及其结构维持过程中的重要作用,并探讨了物种网络稳定性对冰缘带物种多样性维持的积极意义。
首先,研究人员在横断山区域尺度(regional-scale)和局域尺度(local-scale)上分别构建了由不同类群垫状植物主导和构建的“植物-植物”共现网络,并分析了垫状植物对植物共现网络结构特征及其稳定性的影响。研究结果表明,垫状植物显著影响“植物-植物”网络结构(图1)。具体地,与随机网络相比,由垫状植物构建的植物网络结构显示出较低的连接密度(linkage density)、加权连接度(weighted connectance)和加权嵌套度(wNODF),但模块度(modularity)更高,这表明由垫状植物主导的种间协作作用驱动了独特的植物-植物共现网络的构建过程与规律。此外,垫状植物对植物网络的空间影响超出了其冠层范围,即垫状植物不仅影响其冠层内部的植物-植物共现网络特征,同时影响其冠层边缘外部的植物-植物网络结构特性,突显了垫状植物在构建植物群落特征方面的重要和积极作用。而且,垫状植物的种间协作强度与网络结构指标呈正相关,表明随着垫状植物协作作用的增强,网络复杂性也随之增加。物种灭绝模型结果表明,垫状植物的消失可能会引发其他植物的二次灭绝。这些结果突显了垫状植物协作作用在通过增强网络复杂性和稳健性来提升和维持植物多样性方面的关键作用。相关研究近期以Multiple cushion plants enhance alpine plant diversity through sustaining plant-plant co-occurrence networks在线发表于中国科学院一区期刊Journal of Plant Ecology 。昆明植物研究所与西南林业大学联合培养硕士研究生牛梦秋和黄美红为论文共同第一作者,昆明植物研究所孙航院士和陈建国研究员为共同通讯作者。硕士研究生杨鹏飞、林洁、陈君怡、博士研究生付全升、张涛、云南师范大学李志敏教授、西南林业大学廖周瑜教授参与了相关工作。

图1 横断山高山冰缘带垫状植物主导的植物共现网络结构。(a)横断山区域尺度上由8个不同垫状植物主导的冰缘带植物共现网络;
(b)单一群落内由8个不同垫状植物共同主导的植物共现网络。
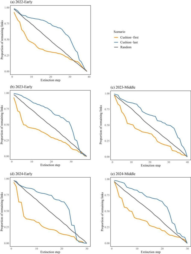
其次,研究人员基于物种互作理论和方法,连续三年系统监测了横断山高山冰缘带同一群落内九种共生垫状植物在不同物候期对昆虫多样性及其群落动态的影响。研究发现,垫状植物始终比其他物种维持着更高的昆虫物种与个体数量,其物种数量高出3.5-4.2倍,个体数量高出4.5-8.8倍。通过在不同季节维持7-46种“特有”昆虫物种,垫状植物使群落昆虫总物种数提升25.93%~112.20%,个体总数提升2.31%~41.64%。网络结构(图2)分析表明,垫状植物处于更核心的网络位置(即具有更高的近中心性与中介中心性),常作为网络模块枢纽或连接节点,而其他植物则多处于网络边缘。物种灭绝模拟结果进一步印证了垫状植物在群落中的核心生态地位:若优先移除垫状植物,昆虫群落存续能力将出现最快速衰退;相反,在优先移除其他植物物种的情境下,昆虫群落呈现最慢的二次灭绝速率(图3)。该研究证实了垫状植物是高山冰缘带生态系统中植物-昆虫互作网络中的关键种,通过构建和维持复杂的物种互作网络提升并维持昆虫多样性。尽管气候变化可能缓解部分环境压力,但多数昆虫仍将依赖垫状植物提供的适宜微生境实现种群维持。相关研究近期以Cushion plants increase and maintain alpine insect diversity through sustaining plant–insect interaction networks为题在线发表于生态学经典期刊Oikos。昆明植物研究所与西南林业大学联合培养硕士研究生牛梦秋和云南大学已毕业博士研究生张涛为论文共同第一作者,昆明植物研究所陈建国研究员为通讯作者。昆明植物研究所已毕业博士研究生钱栎屾、硕士研究生林洁、杨鹏飞、黄美红,昆明植物研究所孙航院士、西南林业大学廖周瑜教授参与了该研究工作。

图2 横断山高山冰缘带不同年份和生长季节植物-昆虫互作网络。

图3 物种灭绝模型:植物在不同灭绝情景下(垫状植物优先灭绝、垫状植物最后灭绝、随机灭绝)导致昆虫二次灭绝。
上述相关研究运用物种网络理论与技术,分别揭示了横断山高山冰缘带内不同垫状植物代表类群在构建和维持“植物-植物”和“植物-昆虫”网络过程中的重要作用。证实垫状植物在高山生态系统物种网络构建和维持过程中起着决定性作用,从而进一步揭示了垫状植物对提升横断山高山冰缘带物种多样性(包括植物多样性和昆虫多样性)的重要意义。同时,通过物种灭绝模拟发现:在气候变化持续加剧的背景下,垫状植物种群的衰退或灭绝,可能会引起与之共存的植物和昆虫物种的二次灭绝,并因此可能导致高山冰缘带生态系统过程和功能的系列转变。在研究基础上,研究者呼吁并提出了具体的关于横断山高山冰缘带垫状植物及其关联生态系统的保护措施和建议,以及未来需要重点开展的基础研究方向。上述研究得到国家自然科学基金(32171552)、中国科学院西部之光、云南省基础研究专项(202201AT070127)以及第二次青藏高原综合科学考察研究项目(2019QZKK0502)的支持。
作者:牛梦秋 陈建国
